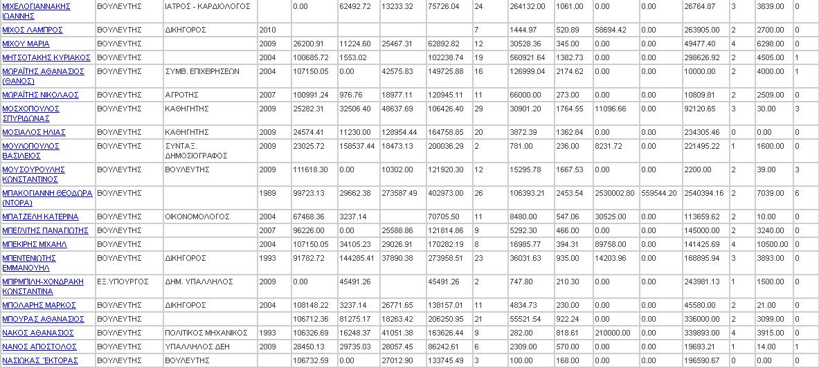
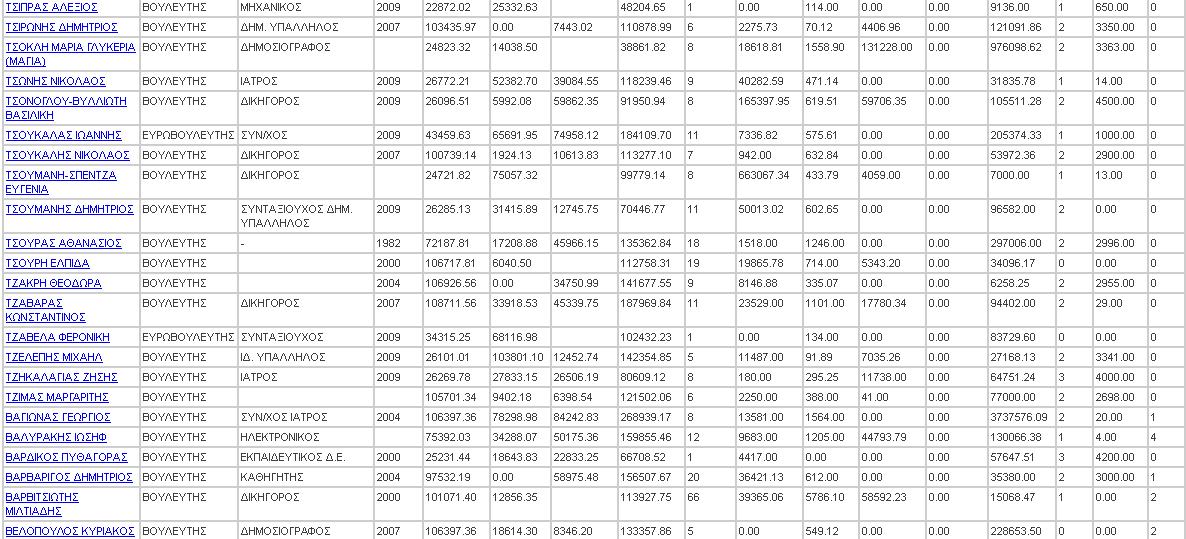
Τους τα βγάζουμε όλα στη φόρα. Δεν συμπεριλαμβάνονται όσα είναι σε offshore εταιρίες και σε …συγγενείς τους. Όλα τα άλλα είναι εδώ. Πατήστε κλικ στις εικόνες για να δείτε καλύτερα τα ονόματα των λαμογιών. Δειτε στο περισσοτερα
http://ixnos.blogspot.com/2012/02/blog-post_8778.html
Φιλε μου ο σημερινός εχθρός σου είναι η παραπληροφόρηση των μεγάλων καναλιών. Αν είδες κάτι που σε άγγιξε , κάτι που το θεωρείς σωστό, ΜΟΙΡΆΣΟΥ ΤΟ ΤΩΡΑ με ανθρώπους που πιστεύεις οτι θα το αξιολογήσουν και θα επωφεληθούν απο αυτό! Μην μένεις απαθής. Πρώτα θα νικήσουμε την ύπνωση και μετά ΟΛΟΙ ΜΑΖΙ τα υπόλοιπα.
STRANGERS E-BOOKS
















